Mathematics Form 3 Chapter 3 Kssm Notes





Chapter 3 F2 Maths Notes

Chapter 3 F2 Maths Notes

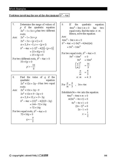
Chapter 3 Quadratc Functions

Chapter 3 Quadratc Functions

Chapter 3 Quadratc Functions

Chapter 3 Quadratc Functions

Mathematics Form 1 Chapter 3 Squares Square Roots Cubes And Cube Ro

Mathematics Form 1 Chapter 3 Squares Square Roots Cubes And Cube Ro

Kssm Form 3 Mathematics Kssm Form 3 Chapter 3 3 2 Credit And Debt Management Flat Rate Interest Interest On Balance Facebook

Kssm Form 3 Mathematics Kssm Form 3 Chapter 3 3 2 Credit And Debt Management Flat Rate Interest Interest On Balance Facebook

Mathematics Form 1 Chapter 8 Lines And Angles Kbsm Of Form 3 Chp 1

Mathematics Form 1 Chapter 8 Lines And Angles Kbsm Of Form 3 Chp 1

Mathematics Form 1 Chapter 8 Lines And Angles Kbsm Of Form 3 Chp 1

Mathematics Revision Pt1 Students Notes

Mathematics Revision Pt1 Students Notes

Chapter 4 F2 Maths Notes

Chapter 4 F2 Maths Notes

Notes And Formulae Mathematics

Notes And Formulae Mathematics

Mathematics Form 1 Chapter 9 Polygons Kbsm Of Form 3 Chp 2

Mathematics Form 1 Chapter 9 Polygons Kbsm Of Form 3 Chp 2

Chapter 3 Quadratc Functions

Chapter 3 Quadratc Functions

Mathematics Form 3 Kurikulum Standard Sekolah Menengah Bukutekskssm My

Mathematics Form 3 Kurikulum Standard Sekolah Menengah Bukutekskssm My

Mathematics Form 3 Chapter 9 10 Scale Drawing Transformation Ii C

Mathematics Form 3 Chapter 9 10 Scale Drawing Transformation Ii C

Chapter 1 Form 2 Maths Notes

Chapter 1 Form 2 Maths Notes

Chapter 6 Angles And Tangents On A Circle 2 Lessons Tes Teach

Chapter 6 Angles And Tangents On A Circle 2 Lessons Tes Teach

Notes Collection For Mathematics

Notes Collection For Mathematics

Mathematics Form 1 Pdf Fill Online Printable Fillable Blank Pdffiller

Mathematics Form 1 Pdf Fill Online Printable Fillable Blank Pdffiller

53622221 Review Exercise Form 3 Chapter 5 Indices Pdf Mathematics

53622221 Review Exercise Form 3 Chapter 5 Indices Pdf Mathematics

Chapter 6 Angles And Tangents On A Circle 2 Lessons Tes Teach

Chapter 6 Angles And Tangents On A Circle 2 Lessons Tes Teach

Add Maths Form 4 Chapter 1 Notes Bookmarkdesk 26657696059326af27b45dfc29501b13 Scrapfy Io

Add Maths Form 4 Chapter 1 Notes Bookmarkdesk 26657696059326af27b45dfc29501b13 Scrapfy Io

Source : pinterest.com